1. 데이터 이해
1-1. 데이터의 이해
1-2. 데이터의 가치와 미래
1-3. 가치 창조를 위한 데이터 사이언스와 전략 인사이트
2. 데이터 분석 기획
2-1. 데이터 분석 기획의 이해
2-2. 분석 마스터 플랜
3. 데이터 분석
3-1. R 기초와 데이터 마트
3-2. 통계분석
3-2-1. 통계학 개론
3-2-2. 기초 통계분석
3-2-3. 다변량 분석
3-2-4. 시계열 에측
3-2-5. 다차원 척도법
3-2-6. 주성분 분석
3-3. 정형 데이터 마이닝
통계학 개론
통계 분석 개요
확률 및 확률분포
추정과 가설검정
모수 검정
확률 및 확률분포
1) 확률의 정의
특정 사건이 일어날 가능성의 척도
1. 모든 사건 E의 확률값은 0과 1사이에 있다. (0 <= P(E) <= 1)
2.전체 집합 Ω의 확률은 1이다. (즉 P( Ω ) = 1)
* Ω 통계적으로 샘플 공간 옴은 모든 가능한 샘플들 또는 기본적인 사건임
3. 서로 배반인 사건들 E1, E2, ...의 합집합의 확률은 각 사건들 확률의 합이다.(배반사건 = 교집합이 공집합인 사건)
* 표본공간 : 통계적 실험을 실시할 때 나타날 수 있는 모든 결과들의 집합
* 사건 : 표본공간의 부분집합
* 근원사건 : 오직 한 개의 원소로만 이루어진 사건을 근원사건이라고 함
* 표본공간이 유한 개의 원소로 구성되어 있고, 근원사건들이 일어날 가능성이 모두 같다면, 사건 E의 확률은
P(E) = n(E) / n( Ω ) → (사건 수 / 표본공간의 수)
2) 조건부 확률과 독립사건
- 조건부 확률 P(B|A) = P(A n B) / P(A) - P(A) > 0 일 때만 정의된다.
- P(A n B) = P(A) P(B) 이면, 두 사건은 독립이라는 의미임
- P(B|A) = P(B) : 사건 B의 확률은 사건 A가 일어났는지의 여부와 무관하다.
3) 확률변수와 확률분포
- 특정사건이 일어날 확률은 그 변수가 특정값을 가질 확률로 표현할 수 있다.
- 확률 변수 : 특정값이 나타날 가능성이 확률적으로 주어지는 변수, 정의역(X값)이 표본 공간, 치역이 실수값



4) 이산형 확률 변수
- 사건의 확률이 '점', 확률이 0보다 큰 값을 갖는 점들로 표현 가능
- 각 이산점에 있어서 확률의 크기를 표현하는 함수 → 확률 질량 함수
- 베르누이 확률분포 : 결과 2개
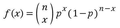
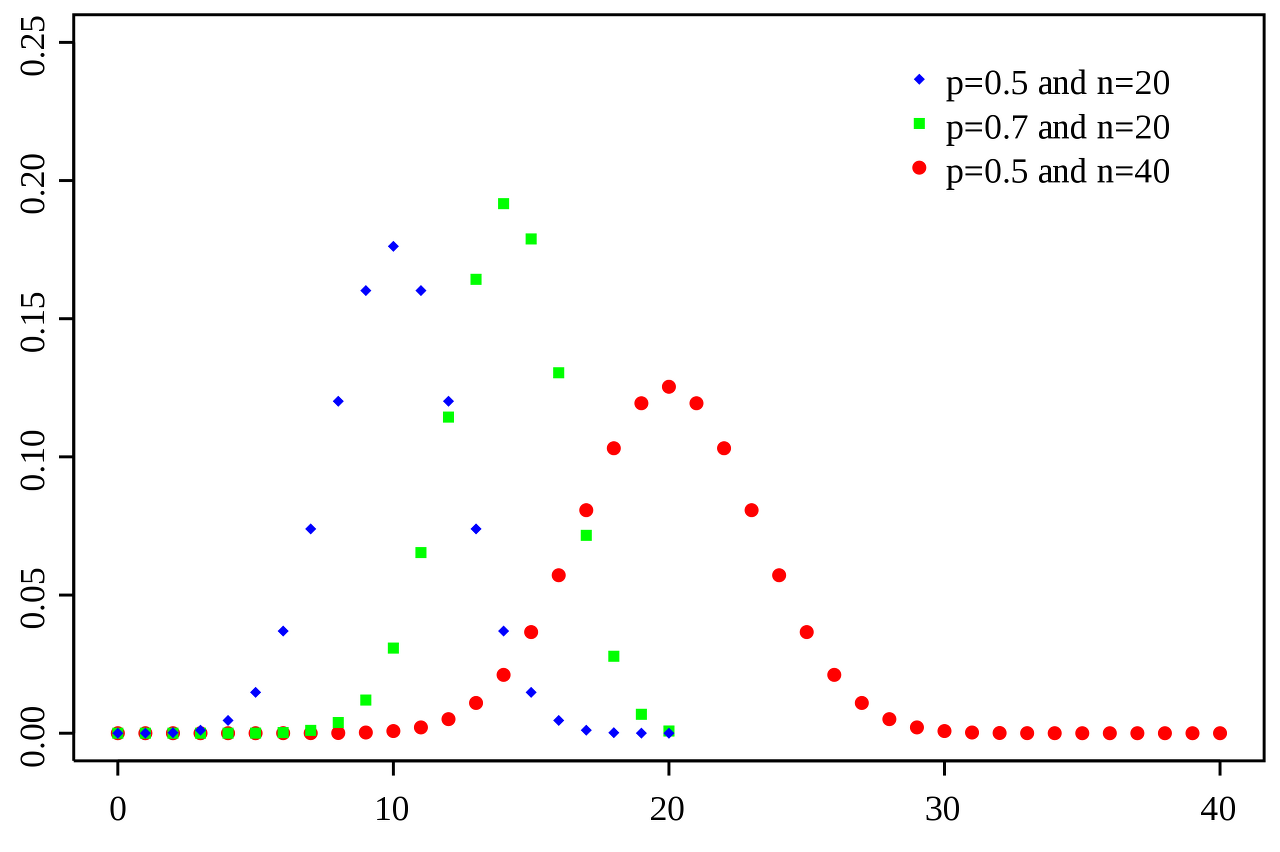
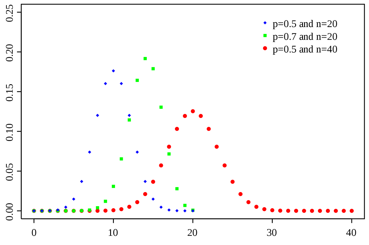
- 이항분포
- 기하분포 : 베르누이 시행 N번 반복 시, K번 성공할 확률
- 포아송분포 : 시간, 공간 내에서 발생하는 사건의 횟수에 대한 확률분포
- 다항분포 : 이항분포 확장 → 3가지 이상의 결과를 가지는 반복 시행에서 발생하는 확률분포
5) 연속형 확률 변수
- 어떤 0보다 큰 값을 갖는 함수의 면적으로 표현
- 한 점에서의 확률은 0, 구간에서의 확률값 → 확률밀도함수
- 균일분포(일양분포)
- 정규분포
- 지수분포
- t-분포 : 두 집단의 평균이 동일한지 확인하기 위해 검정통계량으로 활용
- 카이제곱분포 : 모평균, 모분산이 알려지지 않은 모집단의 모분산 가설 검정과 동질성 검정 사용
- F-분포 : 두 집단 간 분산의 동일성 검정에 사용
6) 확률변수의 기댓값과 분산
- 이산형 확률변수의 기댓값은 각 점에서의 확률값의 합
- 연속형 확률변수의 기대값은 해당 구간에서의 면적(적분)
7) 백분위수
- 제 q백분위수 Xq는 P(X <= Xq) = q/100이며, q는 0과 100사이의 값이다.
'Data > ADsP' 카테고리의 다른 글
| [ADsP] 모수 검정 (0) | 2023.10.05 |
|---|---|
| [ADsP] 추정과 가설검정 (0) | 2023.10.05 |
| [ADsP] 통계 분석 개요 (1) | 2023.10.05 |